黄瓜视频免费看,黄瓜视频91APP,黄瓜成人在线视频,黄瓜视频APP深夜无限观影

微信谘詢

400-888-5135

3nh@3nh.com

新聞動態

色度計精度是怎麽獲得的?

發布時間:2022-07-22 10:46:08  

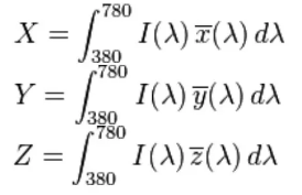
色度計及其三色過濾係統具有固有的局限性。簡而言之,過濾檢測器進行 CIE 顏色匹配並不容易。實際上,正在使用單獨的濾光片來獲取光並分離三種顏色波長(寬帶)。此外,3個濾光片通常是從單個多色濾光片切割而成的。這種多色濾光片通常在切割前進行塗層處理。但是塗層並不總是均勻地分布在整個表麵上,並且可能會導致單個零件的更多不一致。

畢竟,必須從3種顏色中獲取數據並將它們重新組合在一起以到達顏色圖上的一個點。

下圖是3個光片公式的計算方法:

色度計精度是怎麽獲得的

在線客服
聯係方式
  • 400-888-5135
  • 3nh@3nh.com
網站地圖